论坛   网友爆料   最新通知:这些列车临时停运
返回列表
查看: 2105|回复: 0
收起左侧

最新通知:这些列车临时停运

[复制链接]

718

主题

1

回帖

2471

积分

网站编辑

积分
2471
发表于 2024-2-19 16:44:10 | 显示全部楼层 |阅读模式 | 来自湖北

据@武汉铁路 最新消息,根据中央气象台发布的寒潮橙色预警,2月18日至24日,我国大部地区将出现大范围雨雪冰冻天气。为确保旅客出行安全,中国铁路武汉局集团有限公司2月20日计划停运部分列车。

铁路部门将根据天气变化动态调整旅客列车运行方案,以上车次可能继续发生变化。具体情况请旅客随时通过中国铁路12306网站或App、各火车站官方微博等渠道关注动态信息,妥善安排出行。


164334n02p50v25505v5ae.png

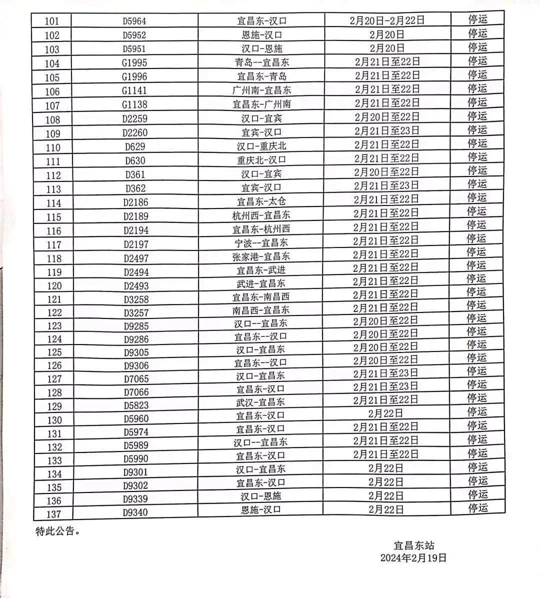
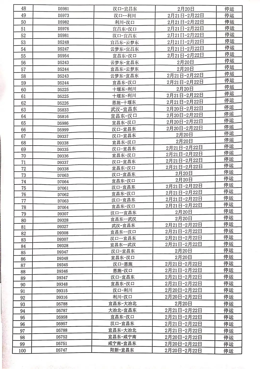
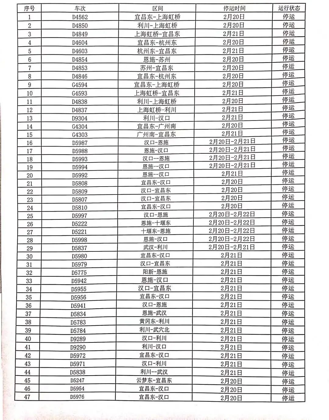
同时,从宜昌东站获悉
为应对低温冻雨极端天气
2月20日-2月23日
计划开行的137列车临时停运
购买停运列车车票旅客
可在接到通知之时
至票面乘车日期后30日以内(含当日)
在12306网站、手机12306APP、
车站人工窗口、具有退票功能的自助机
办理退票,不收退票费
164334d5g79qga2av7yvqg.jpeg
164334zagtciab2z6xmzf0.jpeg

164334zokgapoa6d575nak.jpeg
另外,@湖北高速交警 刚刚发布实时路况信息:

因事故,临时关闭入口的有:G70福银高速六里坪至十堰东段。

因车流量偏大,临时关闭入口的有:G45大广高速铁门至新洲段。

因车流量大,车辆通行缓慢的有:G42沪蓉高速往武汉方向汉川至东西湖段;G4221沪武高速往安徽方向大别山至杨柳段;G50沪渝高速往上海方向武穴至花桥段。

因施工,临时关闭入口的有:S13武监高速大沙湖站。

因施工,
①禁止车辆通行的有:G4201武汉绕城高速花山站出口(豹柏向)。
②全天禁止危化品车辆通行的有:G4京港澳高速双向河南界至军山段、大新至军山段入口;G4201武汉绕城高速邹黄互通至藏龙岛互通段;G50沪渝高速武汉西至永安段入口、凤凰山站入口;G4201武汉绕城高速花山站
入口。

来源:湖北发布、@武汉铁路、三峡日报、极目新闻、湖北日报


回复

使用道具 举报

您需要登录后才可以回帖 登录 | 立即注册

收藏:11 | 帖子:882

侵权举报:本页面所涉内容为用户发表并上传,相应的法律责任由用户自行承担;本网站仅提供存储服务;如存在侵权问题,请权利人与本网站联系删除!举报电话:0719-5208066